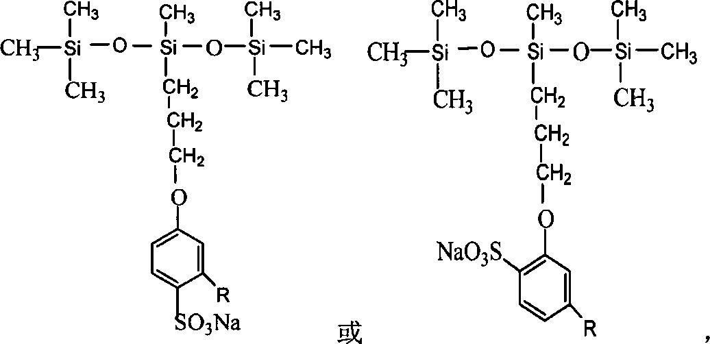
本發明提供了一種含硅氧烷的腰果酚新型表面活性劑,具有如下的結構式:
其中,R代表C15H31。 本發明提供了上述的含硅氧烷的腰果酚新型表面活性劑的制備方法。其制備方法是由氯丙基三硅氧烷與生物質腰果酚磺化物反應,然后分離純化可得到含硅氧烷的腰 果酚新型表面活性劑。本發明含硅氧烷的腰果酚新型表面活性劑同時具有含硅表面活性劑和腰果酚表面活性劑的性能特點,具有溶解性好,皮膚刺激性小,生物降解 性優良;并能與其它表面活性劑配伍性好;其表面張力為18-24mN/m。
本發明提供了一種含硅氧烷的腰果酚新型表面活性劑,具有如下的結構式:
其中,R代表C15H31。 本發明提供了上述的含硅氧烷的腰果酚新型表面活性劑的制備方法。其制備方法是由氯丙基三硅氧烷與生物質腰果酚磺化物反應,然后分離純化可得到含硅氧烷的腰 果酚新型表面活性劑。本發明含硅氧烷的腰果酚新型表面活性劑同時具有含硅表面活性劑和腰果酚表面活性劑的性能特點,具有溶解性好,皮膚刺激性小,生物降解 性優良;并能與其它表面活性劑配伍性好;其表面張力為18-24mN/m。